
Hey, I'm Phoebe
I'm a Data Analyst
ABOUT ME

Welcome to my corner of the internet! I'm a former medical doctor who traded in the stethoscope for statistics and the operating room for operating systems.With a solid foundation in statistics and an analytical toolkit including R, SQL, Tableau, and Power BI, I am committed to advancing healthcare quality and equity through data analytics. Promoting equity in global health research is more than just a goal—it’s an ongoing mission that requires intention, collaboration, and systemic change.
My ambition is to combine my clinical experience with analytical expertise to guide decisions that improve patient care for those who need it most.
DATA ANALYSIS PROJECTS
(Part 1)
EMERGENCY DEPARTMENT VISITS DASHBOARD
A visualization for Emergency Departments, designed to determine the overall efficiency of hospital EDs through effective key metrics must be implemented and monitored routinely. By displaying real-time and historical data in a user-friendly format, it enables quick identification of bottlenecks and areas for improvement.
Tech: Tableau

UNIACE SEO ANALYSIS

A report on SEO Analysis was generated to assess the comprehensive SEO performance of UNIACE, as well as the outcomes of the August campaign aimed at promoting the company's young talent program.
The dataset used in this report was extracted from August 1st to August 24th, 2021.
Tech: Power BI (DAX, Power Query)
CUSTOMER360 & RFM MODEL
Developed RFM analysis for the marketing team to understand customer behaviors and payment patterns, leading to successful Customer Segmentation and tailored solutions to reduce customer turnover.
Built dashboard to deliver actionable insights to drive strategic decision-making.
Tech: SQL, Tableau, Microsoft Office (Excel, PowerPoint)

DATA SCIENCE and MACHINE LEARNING (Part 2)
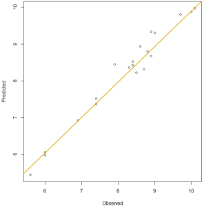
Mortality Rate Modeling

Applied Machine Learning techniques, including Linear Regression and Principal Component Analysis (PCA), to forecast mortality rates with 85% accuracy based on demographic and socioeconomic data.
Processed and cleaned data from Statistics Canada, ensuring accuracy and robustness for analysis.
Tech: R Programming, Microsoft Office (Excel, PowerPoint)
ML Classification Models Comparison for Flu Prediction
The purpose of this study is to establish and evaluate distinct classification models to predict flu incidence using a few relevant factors. This study employs Logistic regression, Linear discriminant analysis, Quadratic discriminant analysis, and Gaussian naive Bayesian classifiers to identify important factors that can predict the flu and then assess how well each model does so.
Tech: R Programming

OTHERS
Weather Forecast

Do you ever get caught in the rain without your trusty umbrella?
My Java-based Weather App is here to help you dodge those awkward weather mishaps by serving up accurate, real-time forecasts tailored to your location.
Tech: HTML, CSS, Java, API